ملاحظة
Go to the end to download the full example code. or to run this example in your browser via JupyterLite or Binder
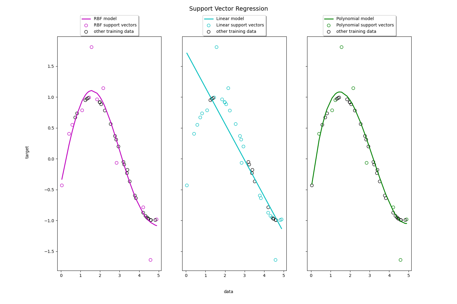
دعم نموذج الانحدار باستخدام نواة خطية وغير خطية#
مثال توضيحي للانحدار أحادي البعد باستخدام نواة خطية ومتعددة الحدود وRBF.
# المؤلفون: مطوري سكايت-ليرن
# معرف الترخيص: BSD-3-Clause
import matplotlib.pyplot as plt
import numpy as np
from sklearn.svm import SVR
توليد بيانات العينة#
X = np.sort(5 * np.random.rand(40, 1), axis=0)
y = np.sin(X).ravel()
# إضافة ضجيج إلى الأهداف
y[::5] += 3 * (0.5 - np.random.rand(8))
ملاءمة نموذج الانحدار#
النظر في النتائج#
lw = 2
svrs = [svr_rbf, svr_lin, svr_poly]
kernel_label = ["RBF", "Linear", "Polynomial"]
model_color = ["m", "c", "g"]
fig, axes = plt.subplots(nrows=1, ncols=3, figsize=(15, 10), sharey=True)
for ix, svr in enumerate(svrs):
axes[ix].plot(
X,
svr.fit(X, y).predict(X),
color=model_color[ix],
lw=lw,
label="{} model".format(kernel_label[ix]),
)
axes[ix].scatter(
X[svr.support_],
y[svr.support_],
facecolor="none",
edgecolor=model_color[ix],
s=50,
label="{} support vectors".format(kernel_label[ix]),
)
axes[ix].scatter(
X[np.setdiff1d(np.arange(len(X)), svr.support_)],
y[np.setdiff1d(np.arange(len(X)), svr.support_)],
facecolor="none",
edgecolor="k",
s=50,
label="other training data",
)
axes[ix].legend(
loc="upper center",
bbox_to_anchor=(0.5, 1.1),
ncol=1,
fancybox=True,
shadow=True,
)
fig.text(0.5, 0.04, "data", ha="center", va="center")
fig.text(0.06, 0.5, "target", ha="center", va="center", rotation="vertical")
fig.suptitle("Support Vector Regression", fontsize=14)
plt.show()

Total running time of the script: (0 minutes 0.554 seconds)
Related examples
مقارنة بين الانحدار النووي المنتظم والانحدار الداعم للمتجهات
مقارنة بين الانحدار النووي المنتظم والانحدار الداعم للمتجهات