Examples#

This is the gallery of examples that showcase how scikit-learn can be used. Some examples demonstrate the use of the API in general and some demonstrate specific applications in tutorial form. Also check out our user guide for more detailed illustrations.

(المتشعب)التعلم المتعدد#

أمثلة متعلقة بوحدة sklearn.manifold .

t-SNE: تأثير قيم الحيرة المختلفة على الشكل

t-SNE: تأثير قيم الحيرة المختلفة على الشكل

القياس متعدد الأبعاد

القياس متعدد الأبعاد

تعلم متعدد الشعب على الأرقام المكتوبة بخط اليد: التضمين الخطي المحلي، Isomap...

تعلم متعدد الشعب على الأرقام المكتوبة بخط اليد: التضمين الخطي المحلي، Isomap...

خفض اللفافة السويسرية واللفافة السويسرية ذات الثقب

خفض اللفافة السويسرية واللفافة السويسرية ذات الثقب

طرق تعلم متعدد الشعب على كرة مقطوعة

طرق تعلم متعدد الشعب على كرة مقطوعة

مقارنة طرق تعلم متعدد الشعب

مقارنة طرق تعلم متعدد الشعب

Support Vector Machines (SVM)#

أمثلة تتعلق بوحدة sklearn.svm .

One-class SVM with non-linear kernel (RBF)

One-class SVM with non-linear kernel (RBF)

SVM مع نواة مخصصة

SVM مع نواة مخصصة

SVM-Anova: SVM مع اختيار الميزات أحادية المتغير

SVM-Anova: SVM مع اختيار الميزات أحادية المتغير

SVM: العينات ذات الأوزان

SVM: العينات ذات الأوزان

SVM: المستوى الفاصل ذو الهامش الأقصى

SVM: المستوى الفاصل ذو الهامش الأقصى

SVM: المستوي الفاصل للطبقات غير المتوازنة

SVM: المستوي الفاصل للطبقات غير المتوازنة

دعم نموذج الانحدار باستخدام نواة خطية وغير خطية

دعم نموذج الانحدار باستخدام نواة خطية وغير خطية

رسم المتجهات الداعمة في LinearSVC

رسم المتجهات الداعمة في LinearSVC

رسم حدود التصنيف مع نوى SVM مختلفة

رسم حدود التصنيف مع نوى SVM مختلفة

رسم مخططات لمصنفات SVM المختلفة في مجموعة بيانات الزهرة

رسم مخططات لمصنفات SVM المختلفة في مجموعة بيانات الزهرة

ضبط معامل الانتظام لخوارزمية SVC

ضبط معامل الانتظام لخوارزمية SVC

مثال على كسر التعادل في SVM

مثال على كسر التعادل في SVM

مثال على هوامش SVM

مثال على هوامش SVM

معاملات SVM ذات الدالة الشعاعية الأساسية

معاملات SVM ذات الدالة الشعاعية الأساسية

أشجار القرار-#

أمثلة تتعلق بوحدة sklearn.tree.

انحدار شجرة القرار

انحدار شجرة القرار

تشذيب أشجار القرار بعد التدريب باستخدام تقنية تشذيب تعقيد التكلفة

تشذيب أشجار القرار بعد التدريب باستخدام تقنية تشذيب تعقيد التكلفة

رسم سطح القرار لأشجار القرار المدربة على مجموعة بيانات الزهرة الآرغوانية

رسم سطح القرار لأشجار القرار المدربة على مجموعة بيانات الزهرة الآرغوانية

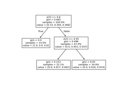
فهم بنية شجرة القرار

فهم بنية شجرة القرار

أبرز ما جاء في الإصدار#

توضح هذه الأمثلة الميزات الرئيسية لإصدارات scikit-learn.

أبرز الميزات الجديدة في الإصدار 1.5 من scikit-learn

أبرز الميزات الجديدة في الإصدار 1.5 من scikit-learn

أبرز ميزات الإصدار 1.4 من scikit-learn

أبرز ميزات الإصدار 1.4 من scikit-learn

أبرز ميزات الإصدار 1.3 من scikit-learn

أبرز ميزات الإصدار 1.3 من scikit-learn

أبرز ميزات الإصدار 1.2 من scikit-learn

أبرز ميزات الإصدار 1.2 من scikit-learn

أبرز الميزات الجديدة في إصدار scikit-learn 1.1

أبرز الميزات الجديدة في إصدار scikit-learn 1.1

أبرز ميزات الإصدار 1.0 من scikit-learn

أبرز ميزات الإصدار 1.0 من scikit-learn

أبرز ميزات الإصدار 0.24 من scikit-learn

أبرز ميزات الإصدار 0.24 من scikit-learn

أبرز الميزات الجديدة في إصدار scikit-learn 0.23

أبرز الميزات الجديدة في إصدار scikit-learn 0.23

أبرز ميزات الإصدار 0.22 من scikit-learn

أبرز ميزات الإصدار 0.22 من scikit-learn

Semi Supervised Classification#

Examples concerning the sklearn.semi_supervised module.

التصنيف شبه المُشرف على مجموعة بيانات نصية

التصنيف شبه المُشرف على مجموعة بيانات نصية

تأثير تغيير العتبة في التدريب الذاتي

تأثير تغيير العتبة في التدريب الذاتي

تعلم انتشار العلامات لهيكل معقد

تعلم انتشار العلامات لهيكل معقد

حدود القرار للمصنفات شبه المُشرفة مقابل SVM على مجموعة بيانات Iris

حدود القرار للمصنفات شبه المُشرفة مقابل SVM على مجموعة بيانات Iris

نشر التسمية للأرقام باستخدام التعلم النشط

نشر التسمية للأرقام باستخدام التعلم النشط

نشر العلامات على الأرقام: توضيح الأداء

نشر العلامات على الأرقام: توضيح الأداء

أقرب الجيران#

أمثلة تتعلق بوحدة sklearn.neighbors .

أقرب النقاط المجاورة التقريبية في TSNE

أقرب النقاط المجاورة التقريبية في TSNE

أقرب جيران الانحدار

أقرب جيران الانحدار

الاحتفاظ بأقرب الجيران في الذاكرة المؤقتة

الاحتفاظ بأقرب الجيران في الذاكرة المؤقتة

الحد من الأبعاد باستخدام تحليل مكونات الجوار

الحد من الأبعاد باستخدام تحليل مكونات الجوار

الكشف عن البيانات الشاذة باستخدام عامل الانحراف المحلي (LOF)

الكشف عن البيانات الشاذة باستخدام عامل الانحراف المحلي (LOF)

الكشف عن القيم الشاذة باستخدام عامل الانحراف المحلي (LOF)

الكشف عن القيم الشاذة باستخدام عامل الانحراف المحلي (LOF)

تصنيف أقرب الجيران

تصنيف أقرب الجيران

تصنيف أقرب مركز

تصنيف أقرب مركز

تقدير كثافة النواة

تقدير كثافة النواة

تقدير كثافة النواة البسيطة أحادية البعد

تقدير كثافة النواة البسيطة أحادية البعد

تقدير كثافة النواة لتوزيع الأنواع

تقدير كثافة النواة لتوزيع الأنواع

توضيح تحليل مكونات الأحياء المجاورة

توضيح تحليل مكونات الأحياء المجاورة

مقارنة أقرب الجيران مع وبدون تحليل مكونات الحي

مقارنة أقرب الجيران مع وبدون تحليل مكونات الحي

أمثلة مبنية على مجموعات بيانات من العالم الحقيقي#

تطبيقات على مشاكل العالم الحقيقي مع مجموعات بيانات متوسطة الحجم أو واجهة مستخدم تفاعلية.

Out-of-core classification of text documents

Out-of-core classification of text documents

إزالة التشويش من الصور باستخدام PCA النواة

إزالة التشويش من الصور باستخدام PCA النواة

sphx_glr_auto_examples_applications_plot_topics_extraction_with_nmf_lda.py

استخراج الموضوعات باستخدام تحليل المصفوفات غير السالبة وتخصيص ديريتشليت الكامن

الكشف عن القيم الشاذة في مجموعة بيانات حقيقية

الكشف عن القيم الشاذة في مجموعة بيانات حقيقية

المتجه الذاتي الرئيسي لويكيبيديا

المتجه الذاتي الرئيسي لويكيبيديا

الميزات المتأخرة للتنبؤ بالسلاسل الزمنية

الميزات المتأخرة للتنبؤ بالسلاسل الزمنية

تأثير تعقيد النموذج

تأثير تعقيد النموذج

تأخير التنبؤ

تأخير التنبؤ

مثال على التعرف على الوجوه باستخدام الوجوه المميزة وآلات المتجهات الداعمة

مثال على التعرف على الوجوه باستخدام الوجوه المميزة وآلات المتجهات الداعمة

نمذجة توزيع الأنواع

نمذجة توزيع الأنواع

sphx_glr_auto_examples_applications_plot_tomography_l1_reconstruction.py

هذا مثال يوضح إعادة بناء صورة من مجموعة من الإسقاطات المتوازية، والتي تم الحصول عليها على طول زوايا مختلفة. يتم الحصول على مثل هذه البيانات في التصوير المقطعي المحوسب (CT).

هندسة الميزات ذات الصلة بالوقت

هندسة الميزات ذات الصلة بالوقت

هيكلة سوق الأسهم المرئية

هيكلة سوق الأسهم المرئية

أمثلة مجموعات البيانات#

أمثلة تتعلق بوحدة sklearn.datasets .

رسم مجموعة بيانات متعددة التصنيفات مُولدة عشوائياً

رسم مجموعة بيانات متعددة التصنيفات مُولدة عشوائياً

إختيار الميزة#

أمثلة تتعلق بوحدة sklearn.feature_selection.

Model-based and sequential feature selection

Model-based and sequential feature selection

Pipeline ANOVA SVM

Pipeline ANOVA SVM

إزالة الميزات المتكررة باستخدام التحقق المتبادل

إزالة الميزات المتكررة باستخدام التحقق المتبادل

إزالة الميزة المتكررة

إزالة الميزة المتكررة

اختيار الميزة أحادية المتغير

اختيار الميزة أحادية المتغير

مقارنة بين اختبار F والمعلومات المتبادلة

مقارنة بين اختبار F والمعلومات المتبادلة

إختيار النموذج#

أمثلة تتعلق بوحدة sklearn.model_selection .

"

"

استراتيجية إعادة الضبط المخصصة للبحث الشبكي مع التحقق المتقاطع

استراتيجية إعادة الضبط المخصصة للبحث الشبكي مع التحقق المتقاطع

التصنيف المتداخل مقابل غير المتداخل

التصنيف المتداخل مقابل غير المتداخل

المقارنة الإحصائية للنماذج باستخدام البحث الشبكي

المقارنة الإحصائية للنماذج باستخدام البحث الشبكي

الموازنة بين تعقيد النموذج ودرجة الدقة عبر التحقق المتقاطع

الموازنة بين تعقيد النموذج ودرجة الدقة عبر التحقق المتقاطع

تأثير تنظيم النموذج على خطأ التدريب والاختبار

تأثير تنظيم النموذج على خطأ التدريب والاختبار

تصور سلوك التحقق المتقاطع في سكايلرن

تصور سلوك التحقق المتقاطع في سكايلرن

توضيح التقييم متعدد المقاييس على cross_val_score و GridSearchCV

توضيح التقييم متعدد المقاييس على cross_val_score و GridSearchCV

دقة-استدعاء

دقة-استدعاء

رسم تنبؤات الصندوق الأسود

رسم تنبؤات الصندوق الأسود

رسم منحنيات التعلم وفحص قابلية التوسع للنماذج

رسم منحنيات التعلم وفحص قابلية التوسع للنماذج

ضبط عتبة القرار للتعلم الحساس للتكلفة

ضبط عتبة القرار للتعلم الحساس للتكلفة

ضبط نقطة القطع لوظيفة القرار بعد التدريب

ضبط نقطة القطع لوظيفة القرار بعد التدريب

عدم الملاءمة مقابل الإفراط في الملاءمة

عدم الملاءمة مقابل الإفراط في الملاءمة

عمليات التقسيم المتتالية

عمليات التقسيم المتتالية

مثال على خط أنابيب لاستخراج ميزات النص وتقييمها

مثال على خط أنابيب لاستخراج ميزات النص وتقييمها

مصفوفة الارتباك

مصفوفة الارتباك

مقارنة البحث العشوائي والبحث الشبكي لتقدير فرط المعلمات

مقارنة البحث العشوائي والبحث الشبكي لتقدير فرط المعلمات

مقارنة بين البحث الشبكي وتقليص الخيارات المتتابع

مقارنة بين البحث الشبكي وتقليص الخيارات المتتابع

منحنى استقبال التشغيل متعدد الفئات (ROC)

منحنى استقبال التشغيل متعدد الفئات (ROC)

منحنى الخطأ الكشف (DET)

منحنى الخطأ الكشف (DET)

منحنى المستقبل التشغيلي (ROC) مع التحقق المتقاطع

منحنى المستقبل التشغيلي (ROC) مع التحقق المتقاطع

نسب الاحتمال الطبقي لقياس أداء التصنيف

نسب الاحتمال الطبقي لقياس أداء التصنيف

التجميع#

أمثلة تتعلق بوحدة sklearn.cluster .

sphx_glr_auto_examples_cluster_plot_segmentation_toy.py

# ===========================================

# التجميع التجميعي مع مقاييس مختلفة

# التجميع التجميعي مع مقاييس مختلفة

# التجميع التجميعي مع وبغير بنية

# التجميع التجميعي مع وبغير بنية

sphx_glr_auto_examples_cluster_plot_feature_agglomeration_vs_univariate_selection.py

# مقارنة بين تجميع الميزات والاختيار أحادي المتغير

التصنيف الاستقرائي

التصنيف الاستقرائي

العنقدة الهرمية: العنقدة المنظمة وغير المنظمة

العنقدة الهرمية: العنقدة المنظمة وغير المنظمة

تجميع الميزات

تجميع الميزات

تحليل السيلويت لتحديد عدد التجمعات في التجميع التجميعي KMeans

تحليل السيلويت لتحديد عدد التجمعات في التجميع التجميعي KMeans

تطبيق خوارزمية k-means على مجموعة البيانات digits

تطبيق خوارزمية k-means على مجموعة البيانات digits

تعديل الفرصة في تقييم أداء التجميع

تعديل الفرصة في تقييم أداء التجميع

تعلم القاموس عبر الإنترنت لأجزاء الوجوه

تعلم القاموس عبر الإنترنت لأجزاء الوجوه

تقييم تجريبي لتأثير تهيئة k-means

تقييم تجريبي لتأثير تهيئة k-means

تم تقسيم صورة العملات اليونانية إلى مناطق

تم تقسيم صورة العملات اليونانية إلى مناطق

توضيح افتراضات خوارزمية كاي-مينز

توضيح افتراضات خوارزمية كاي-مينز

رسم مخطط شجرة التجميع الهرمي

رسم مخطط شجرة التجميع الهرمي

عرض توضيحي لتجميع هرمي منظم على صورة عملات معدنية

عرض توضيحي لتجميع هرمي منظم على صورة عملات معدنية

عرض توضيحي لخوارزمية التجميع DBSCAN

عرض توضيحي لخوارزمية التجميع DBSCAN

عرض توضيحي لخوارزمية التجميع HDBSCAN

عرض توضيحي لخوارزمية التجميع HDBSCAN

عرض توضيحي لخوارزمية التجميع OPTICS

عرض توضيحي لخوارزمية التجميع OPTICS

عرض توضيحي لخوارزمية التجميع متوسط التحول

عرض توضيحي لخوارزمية التجميع متوسط التحول

عرض توضيحي لخوارزمية تجميع انتشار الانتماء

عرض توضيحي لخوارزمية تجميع انتشار الانتماء

مثال على التهيئة K-Means++

مثال على التهيئة K-Means++

مثال على تكميم المتجهات

مثال على تكميم المتجهات

مختلف خوارزميات التجميع الهرمي على تضمين ثنائي الأبعاد لمجموعة بيانات الأرقام

مختلف خوارزميات التجميع الهرمي على تضمين ثنائي الأبعاد لمجموعة بيانات الأرقام

sphx_glr_auto_examples_cluster_plot_bisect_kmeans.py

مقارنة الأداء بين خوارزمية K-Means العادية وخوارزمية Bisecting K-Means

مقارنة بين BIRCH و MiniBatchKMeans

مقارنة بين BIRCH و MiniBatchKMeans

مقارنة خوارزميات التجميع K-Means و MiniBatchKMeans

مقارنة خوارزميات التجميع K-Means و MiniBatchKMeans

مقارنة خوارزميات التجميع المختلفة على مجموعات البيانات التجريبية

مقارنة خوارزميات التجميع المختلفة على مجموعات البيانات التجريبية

مقارنة طرق الربط الهرمي المختلفة على مجموعات بيانات تجريبية

مقارنة طرق الربط الهرمي المختلفة على مجموعات بيانات تجريبية

التجميع الثنائي#

أمثلة تتعلق بتقنيات التجميع الثنائي.

التجميع الثنائي للمستندات باستخدام خوارزمية التجميع الطيفي المشترك

التجميع الثنائي للمستندات باستخدام خوارزمية التجميع الطيفي المشترك

عرض توضيحي لخوارزمية التجميع الطيفي الثنائي

عرض توضيحي لخوارزمية التجميع الطيفي الثنائي

عرض توضيحي لخوارزمية التجميع الطيفي المشترك

عرض توضيحي لخوارزمية التجميع الطيفي المشترك

التحلل المتقاطع#

أمثلة تتعلق بوحدة sklearn.cross_decomposition .

الانحدار باستخدام المكونات الرئيسية مقابل الانحدار باستخدام المربعات الجزئية

الانحدار باستخدام المكونات الرئيسية مقابل الانحدار باستخدام المربعات الجزئية

مقارنة طرق التحليل التفاضلي

مقارنة طرق التحليل التفاضلي

التصنيف#

أمثلة عامة حول خوارزميات التصنيف

Normal, Ledoit-Wolf and OAS Linear Discriminant Analysis for classification

Normal, Ledoit-Wolf and OAS Linear Discriminant Analysis for classification

التعرف على الأرقام المكتوبة بخط اليد

التعرف على الأرقام المكتوبة بخط اليد

رسم احتمالية التصنيف

رسم احتمالية التصنيف

مقارنة المصنفات

مقارنة المصنفات

sphx_glr_auto_examples_classification_plot_lda_qda.py

هذا مثال لرسم حدود التمييز والقطع الناقص لتشتت كل فئة، والتي تم تعلمها بواسطة LinearDiscriminantAnalysis (LDA) و QuadraticDiscriminantAnalysis (QDA). يُظهر القطع الناقص الانحراف المعياري المزدوج لكل فئة. مع LDA، يكون الانحراف المعياري هو نفسه لجميع الفئات، في حين أن لكل فئة انحرافها المعياري الخاص بها مع QDA.

الشبكات العصبية#

أمثلة تتعلق بوحدة sklearn.neural_network.

تصور أوزان الشبكة العصبية متعددة الطبقات على مجموعة بيانات MNIST

تصور أوزان الشبكة العصبية متعددة الطبقات على مجموعة بيانات MNIST

تغيير معامل التنظيم في الشبكة العصبية متعددة الطبقات

تغيير معامل التنظيم في الشبكة العصبية متعددة الطبقات

مقارنة استراتيجيات التعلم العشوائي لتصنيف الشبكة العصبية متعددة الطبقات

مقارنة استراتيجيات التعلم العشوائي لتصنيف الشبكة العصبية متعددة الطبقات

ميزات شبكة بولتزمان المقيدة لتصنيف الأرقام

ميزات شبكة بولتزمان المقيدة لتصنيف الأرقام

الطرق المتعددة الفئات#

أمثلة تتعلق بوحدة sklearn.multiclass .

نظرة عامة على الميتا-مقدّرات التدريب متعدد التصنيفات

نظرة عامة على الميتا-مقدّرات التدريب متعدد التصنيفات

الطرق المتعددة المخرجات#

أمثلة تتعلق بوحدة sklearn.multioutput .

التصنيف متعدد التصنيفات باستخدام سلسلة المصنفات

التصنيف متعدد التصنيفات باستخدام سلسلة المصنفات

العمل مع المستندات النصية#

أمثلة تتعلق بوحدة sklearn.feature_extraction.text .

تجميع مستندات النص باستخدام k-means

تجميع مستندات النص باستخدام k-means

تصنيف وثائق النصوص باستخدام الميزات المتناثرة

تصنيف وثائق النصوص باستخدام الميزات المتناثرة

مقارنة بين FeatureHasher و DictVectorizer

مقارنة بين FeatureHasher و DictVectorizer

الفحص#

أمثلة تتعلق بوحدة sklearn.inspection .

أهمية التبديل مع الميزات متعددة الخطية أو المرتبطة

أهمية التبديل مع الميزات متعددة الخطية أو المرتبطة

أهمية التبديل مقابل أهمية ميزة الغابة العشوائية (MDI)

أهمية التبديل مقابل أهمية ميزة الغابة العشوائية (MDI)

المزالق الشائعة في تفسير معاملات النماذج الخطية

المزالق الشائعة في تفسير معاملات النماذج الخطية

فشل التعلم الآلي في استنتاج الآثار السببية

فشل التعلم الآلي في استنتاج الآثار السببية

مخططات التبعية الجزئية والتوقع الشرطي الفردي

مخططات التبعية الجزئية والتوقع الشرطي الفردي

المعالجة المسبقة للبيانات#

أمثلة تتعلق بوحدة sklearn.preprocessing .

أهمية معايرة الميزات

أهمية معايرة الميزات

استخدام KBinsDiscretizer لتقسيم الخصائص المستمرة

استخدام KBinsDiscretizer لتقسيم الخصائص المستمرة

الترميز الداخلي للهدف عبر الملاءمة

الترميز الداخلي للهدف عبر الملاءمة

تجريد الميزات

تجريد الميزات

تحويل البيانات إلى التوزيع الطبيعي

تحويل البيانات إلى التوزيع الطبيعي

عرض استراتيجيات KBinsDiscretizer المختلفة

عرض استراتيجيات KBinsDiscretizer المختلفة

مقارنة تأثير المقياس المختلف على البيانات مع القيم الشاذة

مقارنة تأثير المقياس المختلف على البيانات مع القيم الشاذة

مقارنة ترميز الهدف مع الترميزات الأخرى

مقارنة ترميز الهدف مع الترميزات الأخرى

النماذج الخطية المعممة#

أمثلة تتعلق بوحدة sklearn.linear_model.

sphx_glr_auto_examples_linear_model_plot_bayesian_ridge_curvefit.py

# ========================================================

# مقارنة المنحنيات الخطية للانحدار البايزي

# مقارنة المنحنيات الخطية للانحدار البايزي

Lasso على البيانات الكثيفة والمتفرقة

Lasso على البيانات الكثيفة والمتفرقة

One-Class SVM مقابل One-Class SVM باستخدام Stochastic Gradient Descent

One-Class SVM مقابل One-Class SVM باستخدام Stochastic Gradient Descent

SGD: العقوبات

SGD: العقوبات

SGD: العينات المرجحة

SGD: العينات المرجحة

SGD: المستوى الفاصل ذو الهامش الأقصى

SGD: المستوى الفاصل ذو الهامش الأقصى

SGD: دالات الخسارة المقعرة

SGD: دالات الخسارة المقعرة

إيقاف مبكر لنزول التدرج العشوائي

إيقاف مبكر لنزول التدرج العشوائي

اختيار نموذج لاصو عبر معايير المعلومات

اختيار نموذج لاصو عبر معايير المعلومات

الاختيار المشترك للميزات باستخدام Lasso متعدد المهام

الاختيار المشترك للميزات باستخدام Lasso متعدد المهام

الانحدار الخطي العادي وانحدار ريدج والتباين

الانحدار الخطي العادي وانحدار ريدج والتباين

الانحدار اللوجستي المتناثر متعدد الفئات على 20newgroups

الانحدار اللوجستي المتناثر متعدد الفئات على 20newgroups

التكامل متعدد الحدود والتقسيم

التكامل متعدد الحدود والتقسيم

الدالة اللوغستية

الدالة اللوغستية

انحدار بواسون والخسارة غير الطبيعية

انحدار بواسون والخسارة غير الطبيعية

انحدار تويدي على مطالبات التأمين

انحدار تويدي على مطالبات التأمين

انحدار ثيل-سين

انحدار ثيل-سين

انحدار كمي

انحدار كمي

تصنيف MNIST باستخدام اللوغاريتم متعدد الحدود + L1

تصنيف MNIST باستخدام اللوغاريتم متعدد الحدود + L1

تقدير النموذج الخطي القوي باستخدام RANSAC

تقدير النموذج الخطي القوي باستخدام RANSAC

تقدير خطي قوي

تقدير خطي قوي

تناسب شبكة مرنة مع مصفوفة جرام مسبقة الحساب وعينات مرجحة

تناسب شبكة مرنة مع مصفوفة جرام مسبقة الحساب وعينات مرجحة

حدود القرار للانحدار متعدد الحدود والانحدار اللوجستي من النوع واحد مقابل البقية

حدود القرار للانحدار متعدد الحدود والانحدار اللوجستي من النوع واحد مقابل البقية

رسم متعدد الفئات SGD على مجموعة بيانات الزهرة

رسم متعدد الفئات SGD على مجموعة بيانات الزهرة

رسم معاملات Ridge كدالة للتنظيم

رسم معاملات Ridge كدالة للتنظيم

عقوبة L1 والندرة في الانحدار اللوجستي

عقوبة L1 والندرة في الانحدار اللوجستي

مثال على المربعات الصغرى العادية

مثال على المربعات الصغرى العادية

مربعات أقل غير سالبة

مربعات أقل غير سالبة

مسار التنظيم لـ L1 - الانحدار اللوجستي

مسار التنظيم لـ L1 - الانحدار اللوجستي

مسارات لاصو ولاصو-لارس وشبكة مرنة

مسارات لاصو ولاصو-لارس وشبكة مرنة

مطابقة متعامدة

مطابقة متعامدة

معاملات Ridge كدالة لتنظيم L2

معاملات Ridge كدالة لتنظيم L2

مقارنة بين HuberRegressor و Ridge على مجموعة بيانات تحتوي على قيم شاذة قوية

مقارنة بين HuberRegressor و Ridge على مجموعة بيانات تحتوي على قيم شاذة قوية

مقارنة بين المحللات المختلفة عبر الإنترنت

مقارنة بين المحللات المختلفة عبر الإنترنت

نماذج L1 للاشارات المتناثرة

نماذج L1 للاشارات المتناثرة

نموذج لاصو: اختيار النموذج باستخدام معايير AIC-BIC والتحقق المتقاطع

نموذج لاصو: اختيار النموذج باستخدام معايير AIC-BIC والتحقق المتقاطع

تحليل التركيب#

Decomposition أمثلة تتعلق بوحدة sklearn.decomposition.

sphx_glr_auto_examples_decomposition_plot_incremental_pca.py

# تحليل المكونات الأساسية التزايدي

FastICA على سحب النقاط ثنائية الأبعاد

FastICA على سحب النقاط ثنائية الأبعاد

Kernel PCA

Kernel PCA

إزالة تشويش الصور باستخدام تعلم القاموس

إزالة تشويش الصور باستخدام تعلم القاموس

اختيار النموذج باستخدام التحليل الرئيسي للمكونات الاحتمالي وتحليل العوامل (FA)

اختيار النموذج باستخدام التحليل الرئيسي للمكونات الاحتمالي وتحليل العوامل (FA)

الترميز المتناثر مع قاموس محسوب مسبقًا

الترميز المتناثر مع قاموس محسوب مسبقًا

تحليل العوامل (مع الدوران) لتصور الأنماط

تحليل العوامل (مع الدوران) لتصور الأنماط

تحليل المكونات الرئيسية (PCA) على مجموعة بيانات Iris

تحليل المكونات الرئيسية (PCA) على مجموعة بيانات Iris

تحليلات مجموعة بيانات الوجوه

تحليلات مجموعة بيانات الوجوه

فصل المصدر الأعمى باستخدام FastICA

فصل المصدر الأعمى باستخدام FastICA

مقارنة بين الإسقاط ثنائي الأبعاد للمجموعة البيانات آيريس باستخدام LDA وPCA

مقارنة بين الإسقاط ثنائي الأبعاد للمجموعة البيانات آيريس باستخدام LDA وPCA

تطوير المقدرين#

Developing Estimators

أمثلة تتعلق بتطوير مُقدَر مخصص.

__sklearn_is_fitted__ كـ API للمطورين

__sklearn_is_fitted__ كـ API للمطورين

تعويض القيم المفقودة#

أمثلة تتعلق بوحدة sklearn.impute .

استنتاج القيم المفقودة قبل بناء أداة تقدير

استنتاج القيم المفقودة قبل بناء أداة تقدير

استنتاج القيم المفقودة مع متغيرات من IterativeImputer

استنتاج القيم المفقودة مع متغيرات من IterativeImputer

تقدير التغاير#

Covariance estimation

أمثلة تتعلق بوحدة sklearn.covariance.

تأثير تحويل الأهداف في نموذج الانحدار

تأثير تحويل الأهداف في نموذج الانحدار

تقدير Ledoit-Wolf مقابل OAS

تقدير Ledoit-Wolf مقابل OAS

تقدير التغاير القوي مقابل التجريبي

تقدير التغاير القوي مقابل التجريبي

تقدير التغاير القوي وأهمية مسافات Mahalanobis

تقدير التغاير القوي وأهمية مسافات Mahalanobis

تقدير معكوس التغاير النادر

تقدير معكوس التغاير النادر

تقريب النواة#

أمثلة تتعلق بوحدة sklearn.kernel_approximation .

التعلم القابل للتطوير مع تقريب نواة متعددة الحدود

التعلم القابل للتطوير مع تقريب نواة متعددة الحدود

تمارين تعليمية#

تمارين للدروس التعليمية

التحقق المتقاطع على تمرين مجموعة بيانات مرض السكري

التحقق المتقاطع على تمرين مجموعة بيانات مرض السكري

تمرين SVM

تمرين SVM

تمرين تصنيف الأرقام

تمرين تصنيف الأرقام

خطوط الأنابيب والمقدرين المركبين#

Pipelines and composite estimators

أمثلة حول كيفية تكوين المحولات وخطوط الأنابيب من مقدرين آخرين. راجع دليل المستخدم.

اختيار تقليل الأبعاد باستخدام Pipeline و GridSearchCV

اختيار تقليل الأبعاد باستخدام Pipeline و GridSearchCV

تأثير تحويل الأهداف في نموذج الانحدار

تأثير تحويل الأهداف في نموذج الانحدار

دمج طرق استخراج ميزات متعددة

دمج طرق استخراج ميزات متعددة

ربط الأنابيب: ربط PCA والانحدار اللوجستي

ربط الأنابيب: ربط PCA والانحدار اللوجستي

محول الأعمدة مع الأنواع المختلطة

محول الأعمدة مع الأنواع المختلطة

محول الأعمدة مع مصادر بيانات غير متجانسة

محول الأعمدة مع مصادر بيانات غير متجانسة

طرق المجموعة#

Ensemble methods

أمثلة تتعلق بوحدة sklearn.ensemble.

أخطاء OOB لخوارزمية Random Forests

أخطاء OOB لخوارزمية Random Forests

أهمية الميزات باستخدام غابة من الأشجار

أهمية الميزات باستخدام غابة من الأشجار

إيقاف التدريب المبكر في Gradient Boosting

إيقاف التدريب المبكر في Gradient Boosting

القيود الرتيبة

القيود الرتيبة

الميزات في أشجار التعزيز المتدرج للهيستوغرام

الميزات في أشجار التعزيز المتدرج للهيستوغرام

انحدار التعزيز المتدرج

انحدار التعزيز المتدرج

انحدار شجرة القرار مع AdaBoost

انحدار شجرة القرار مع AdaBoost

تحويل الميزات باستخدام مجموعات الأشجار

تحويل الميزات باستخدام مجموعات الأشجار

تحويل ميزة التجزئة باستخدام الأشجار العشوائية تمامًا

تحويل ميزة التجزئة باستخدام الأشجار العشوائية تمامًا

تصنيف ثنائي باستخدام AdaBoost

تصنيف ثنائي باستخدام AdaBoost

تقديرات Gradient Boosting Out-of-Bag

تقديرات Gradient Boosting Out-of-Bag

تنظيم التعزيز المتدرج

تنظيم التعزيز المتدرج

دعم الميزات التصنيفية في التدرج التعزيزي

دعم الميزات التصنيفية في التدرج التعزيزي

دمج المتنبئات باستخدام التكديس

دمج المتنبئات باستخدام التكديس

رسم أسطح القرار لمجموعات الأشجار على مجموعة بيانات إيريس

رسم أسطح القرار لمجموعات الأشجار على مجموعة بيانات إيريس

رسم احتمالات الفئات المحسوبة بواسطة VotingClassifier

رسم احتمالات الفئات المحسوبة بواسطة VotingClassifier

رسم تنبؤات الانحدار الفردية والتصويتية

رسم تنبؤات الانحدار الفردية والتصويتية

رسم حدود القرار لـ VotingClassifier

رسم حدود القرار لـ VotingClassifier

شجرة قرارات معززة متعددة الفئات

شجرة قرارات معززة متعددة الفئات

فترات التنبؤ لانحدار التعزيز المتدرج

فترات التنبؤ لانحدار التعزيز المتدرج

مثال IsolationForest

مثال IsolationForest

مقارنة الغابات العشوائية ومقدر المخرجات المتعددة التلوي

مقارنة الغابات العشوائية ومقدر المخرجات المتعددة التلوي

مقارنة بين المُقدر الفردي والتجميع: تحليل الانحياز والتشتت

مقارنة بين المُقدر الفردي والتجميع: تحليل الانحياز والتشتت

مقارنة بين نماذج الغابات العشوائية ورفع التدرج بالرسم البياني

مقارنة بين نماذج الغابات العشوائية ورفع التدرج بالرسم البياني

عملية غاوسية للتعلم الآلي#

أمثلة تتعلق بوحدة sklearn.gaussian_process.

التنبؤ بمستوى ثاني أكسيد الكربون في مجموعة بيانات Mona Loa باستخدام انحدار العملية الغاوسية (GPR)

التنبؤ بمستوى ثاني أكسيد الكربون في مجموعة بيانات Mona Loa باستخدام انحدار العملية الغاوسية (GPR)

التنبؤات الاحتمالية مع تصنيف العملية الغاوسية (GPC)

التنبؤات الاحتمالية مع تصنيف العملية الغاوسية (GPC)

العمليات الغاوسية على هياكل البيانات المنقوصة

العمليات الغاوسية على هياكل البيانات المنقوصة

انحدار العمليات الغاوسية: مثال تمهيدي أساسي

انحدار العمليات الغاوسية: مثال تمهيدي أساسي

تصنيف العملية الغاوسية (GPC) على مجموعة بيانات iris

تصنيف العملية الغاوسية (GPC) على مجموعة بيانات iris

توضيح العملية الغاوسية المسبقة واللاحقة لنوى مختلفة

توضيح العملية الغاوسية المسبقة واللاحقة لنوى مختلفة

توضيح تصنيف العملية الغاوسية (GPC) على مجموعة بيانات XOR

توضيح تصنيف العملية الغاوسية (GPC) على مجموعة بيانات XOR

خطوط تساوي الاحتمال لتصنيف العمليات الغاوسية (GPC)

خطوط تساوي الاحتمال لتصنيف العمليات الغاوسية (GPC)

قدرة انحدار العمليات الغاوسية (GPR) على تقدير مستوى ضوضاء البيانات

قدرة انحدار العمليات الغاوسية (GPR) على تقدير مستوى ضوضاء البيانات

مقارنة انحدار kernel ridge وانحدار العمليات الغاوسية

مقارنة انحدار kernel ridge وانحدار العمليات الغاوسية

متنوع#

أمثلة متنوعة ومقدمة لـ scikit-learn

اكتمال الوجه باستخدام المُقدرات متعددة المخرجات

اكتمال الوجه باستخدام المُقدرات متعددة المخرجات

الانحدار الأيزوتوني

الانحدار الأيزوتوني

التصنيف متعدد التصنيفات

التصنيف متعدد التصنيفات

التصورات باستخدام كائنات العرض

التصورات باستخدام كائنات العرض

الرسم المتقدم باستخدام الاعتمادية الجزئية

الرسم المتقدم باستخدام الاعتمادية الجزئية

تقديم واجهة برمجة التطبيقات set_output

تقديم واجهة برمجة التطبيقات set_output

تقريب خريطة الميزات الصريحة لنواة RBF

تقريب خريطة الميزات الصريحة لنواة RBF

تقييم خوارزميات كشف الشواذ

تقييم خوارزميات كشف الشواذ

توجيه البيانات الوصفية

توجيه البيانات الوصفية

حدود جونسون-ليندستراوس للانغماس مع الإسقاطات العشوائية

حدود جونسون-ليندستراوس للانغماس مع الإسقاطات العشوائية

عرض المنمذجات وأنابيب التوصيل المعقدة

عرض المنمذجات وأنابيب التوصيل المعقدة

عرض خطوط الأنابيب

عرض خطوط الأنابيب

مقارنة بين الانحدار النووي المنتظم والانحدار الداعم للمتجهات

مقارنة بين الانحدار النووي المنتظم والانحدار الداعم للمتجهات

مقارنة خوارزميات الكشف عن الشذوذ لكشف القيم المتطرفة في مجموعات بيانات تجريبية

مقارنة خوارزميات الكشف عن الشذوذ لكشف القيم المتطرفة في مجموعات بيانات تجريبية

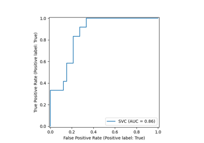
منحنى ROC مع واجهة برمجة التطبيقات للتصور

منحنى ROC مع واجهة برمجة التطبيقات للتصور

معايرة الإحتمالات#

أمثلة توضح معايرة الاحتمالات المتوقعة للمصنفات.

معايرة احتمالات المصنفات

معايرة احتمالات المصنفات

معايرة الاحتمالات لتصنيف ثلاثي الفئات

معايرة الاحتمالات لتصنيف ثلاثي الفئات

مقارنة معايرة المصنفات

مقارنة معايرة المصنفات

منحنيات معايرة الاحتمالية

منحنيات معايرة الاحتمالية

نماذج الخليط الجاوسي#

أمثلة تتعلق بوحدة sklearn.mixture .

اختيار نموذج المزيج الغاوسي

اختيار نموذج المزيج الغاوسي

تحليل نوع أولوية التركيز لخوارزمية التباين بايزي غاوسي ميكسشر

تحليل نوع أولوية التركيز لخوارزمية التباين بايزي غاوسي ميكسشر

تشتتات GMM

تشتتات GMM

تقدير الكثافة لمزيج غاوسي

تقدير الكثافة لمزيج غاوسي

طرق تهيئة نماذج الخلط الغاوسي

طرق تهيئة نماذج الخلط الغاوسي

نموذج الإهليجيات لمزيج غاوسي

نموذج الإهليجيات لمزيج غاوسي

نموذج مزيج غاوسي لمنحنى الجيب

نموذج مزيج غاوسي لمنحنى الجيب

Gallery generated by Sphinx-Gallery