ملاحظة
Go to the end to download the full example code. or to run this example in your browser via JupyterLite or Binder
منحنى ROC مع واجهة برمجة التطبيقات للتصور#
يعرّف Scikit-learn واجهة برمجة تطبيقات بسيطة لإنشاء تصورات للتعلم الآلي. الميزات الرئيسية لهذه الواجهة هي السماح بالرسم السريع والتعديلات المرئية دون إعادة الحساب. في هذا المثال، سوف نوضح كيفية استخدام واجهة برمجة التطبيقات للتصور من خلال مقارنة منحنيات ROC.
# المؤلفون: مطوري scikit-learn
# معرف SPDX-License: BSD-3-Clause
تحميل البيانات وتدريب SVC#
أولاً، نقوم بتحميل مجموعة بيانات النبيذ وتحويلها إلى مشكلة تصنيف ثنائي. ثم نقوم بتدريب مصنف ناقل الدعم على مجموعة بيانات التدريب.
import matplotlib.pyplot as plt
from sklearn.datasets import load_wine
from sklearn.ensemble import RandomForestClassifier
from sklearn.metrics import RocCurveDisplay
from sklearn.model_selection import train_test_split
from sklearn.svm import SVC
X, y = load_wine(return_X_y=True)
y = y == 2
X_train, X_test, y_train, y_test = train_test_split(X, y, random_state=42)
svc = SVC(random_state=42)
svc.fit(X_train, y_train)
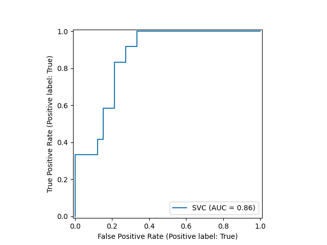
رسم منحنى ROC#
بعد ذلك، نرسم منحنى ROC باستخدام مكالمة واحدة لـ
sklearn.metrics.RocCurveDisplay.from_estimator. الكائن svc_disp الذي يتم إرجاعه يسمح لنا بالاستمرار في استخدام منحنى ROC المحسوب بالفعل
لـ SVC في الرسوم البيانية المستقبلية.
svc_disp = RocCurveDisplay.from_estimator(svc, X_test, y_test)
plt.show()

تدريب غابة عشوائية ورسم منحنى ROC#
نقوم بتدريب مصنف الغابة العشوائية وإنشاء رسم بياني يقارنه بمنحنى ROC لـ SVC. لاحظ كيف أن svc_disp يستخدم
plot لرسم منحنى ROC لـ SVC
دون إعادة حساب قيم منحنى ROC نفسه. علاوة على ذلك، نقوم
بتمرير alpha=0.8 إلى دالات الرسم لتعديل قيم ألفا للمنحنيات.
rfc = RandomForestClassifier(n_estimators=10, random_state=42)
rfc.fit(X_train, y_train)
ax = plt.gca()
rfc_disp = RocCurveDisplay.from_estimator(rfc, X_test, y_test, ax=ax, alpha=0.8)
svc_disp.plot(ax=ax, alpha=0.8)
plt.show()

Total running time of the script: (0 minutes 0.168 seconds)
Related examples